Xi'an Sonwu Biotech Co., Ltd. is one of the most professional manufacturers and suppliers of amp-na2 powder in China. We warmly welcome yuo to wholesale bulk amp-na2 powder for sale here from our factory. Quality products and reasonable price are available.
What Is Adenosine 5 Monophosphoric Acid Disodium Salt
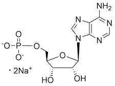
AMP-Na2 powder (adenosine-5'-phosphate disodium) is a nucleotide salt compound, and its chemical structure contains three main components: adenosine, a phosphate group, and sodium ion. Adenosine is a nucleoside composed of adenine and ribose. Adenine is a nitrogenous base, and ribose is a five-carbon sugar. In adenosine-5'-phosphate disodium, the adenosine part combines adenine and ribose. AMP-Na2 contains two phosphate groups. The phosphate group is a compound formed by a phosphorus atom and an oxygen atom, usually in the form of HPO4^2- or H2PO4^-. The two phosphate groups are combined with the ribose part of adenosine to form the basic structure of the nucleotide. The sodium ion in adenosine-5'-phosphate disodium exists as a salt, mainly to increase the water solubility and stability of the compound. Sodium ions are essential for maintaining the biological activity and pharmacological properties of adenosine-5-phosphate disodium. In the chemical synthesis process, it is usually synthesized by reacting adenosine with phosphoric acid. This synthesis process can be carried out by chemical synthesis or biosynthesis, depending on the required purity and application. AMP-Na2 has a variety of important biological activities in the body, which are mainly related to energy metabolism, signal transduction, and drug action. In drug development and biochemical research, adenosine-5'-phosphate disodium, as an essential nucleotide compound, is widely used in treatment and experimental research.
As one of our most popular products, AMP Na2 powder has received many good comments and feedback from customs. What attracts customers mostly is the high quality. Except that Xi'an Sonwu has exceedingly competitive prices. If you want to know more about it, just contact Xi'an Sonwu Biotech Co., Ltd.

Certificate Of Analysis
|
Items |
Standards |
Results |
|
Appearance |
White Powder |
Conform |
|
Odor |
Characteristic |
Conform |
|
Assay |
≥99.0% |
99.62% |
|
Particle Size |
100% pass 80mesh |
Conform |
|
Moisture |
<5.0% |
Conform |
|
Ash Content |
<4.0% |
Conform |
|
Solvent Residue |
Eur.Pharm |
Conform |
|
Total Heavy Metals |
<10 ppm |
Conform |
|
Arsenic |
<1.0 ppm |
Conform |
|
Lead |
<1.0 ppm |
Conform |
|
Mercury |
<0.5 ppm |
Conform |
|
DDT |
<0.2ppm |
Conform |
|
E. Coli |
Negative |
Negative |
|
GMO Status |
Complies |
GMO Free |
|
Irradiation |
Complies |
Irradiation Free |
What Is The Cost Of Adenosine AMP
Xi'an Sonwu Biotech Co. Ltd. has rich experience in the global trade and the health industry. Insisting on faith-based and quality first is our company's principle. Xi'an Sonwu strictly controls product quality, which means selection starts from raw materials. Besides, Xi'an Sonwu handles every detail and reduces costs to the maximum extent so that our customers can get cost-effective products. Based on these, customers have given a lot of good feedback about our products. So look for Xi'an Sonwu Biotech Co. Ltd. when buying it.
Xi'an Sonwu ultimately ensures the product's quality so the samples can be supplied. Here is the quantity.
|
Form |
Sample Amount |
The Minimum Of Quantity |
|
Powder |
500g |
1kg |
Customers' Good Comment

What Does AMP Do In The Body
AMP-Na2, or adenosine-5'-phosphate disodium, has a variety of essential roles and functions in organisms. AMP-Na2 participates in regulating the energy metabolism process in cells. As a derivative of adenosine, it can affect the intracellular adenylate cycle, which is one of the critical pathways for intracellular energy conversion. The presence of adenosine-5'-phosphate disodium can regulate the generation and decomposition of ATP (adenosine triphosphate) in cells, thereby affecting the energy balance of cells. As a compound, adenosine-5'-phosphate disodium is widely used in the preparation of various drugs. Its role in drug development is mainly as a raw material or excipient to enhance the stability, solubility, or biological activity of drugs, especially those involving cell signaling and energy metabolism. Due to its essential role in cell signaling and energy metabolism, AMP-Na2 is often used as a tool in biochemical research. Researchers can use its structure and properties to explore the interactions of various biomolecules in cells and their mechanisms of action in the occurrence and development of diseases. In clinical practice, it is used to treat some diseases related to energy metabolism disorders. Although it is not a direct drug, its research and application help understand and treat the mechanisms of diabetes, myasthenia, and certain neurological diseases. As a nucleotide compound, adenosine-5'-phosphate disodium has essential biological functions and clinical application potential. Its functions cover multiple fields, such as energy metabolism regulation, drug development, biochemical research, and clinical treatment, and it is an indispensable part of life science research.

The mechanism of action of AMP-Na2 powder mainly involves its role in cellular energy metabolism regulation and signal transduction. AMP-Na2 participates in energy metabolism regulation by regulating the adenosine nucleotide cycle in cells. This cycle is a dynamic process, including the mutual conversion between ATP (adenosine triphosphate) and AMP (adenosine monophosphate). AMP Na2, as a salt form of AMP, can affect the balance of this cycle, thereby regulating energy production and consumption in cells. AMP-Na2 can also serve as an essential signaling molecule in cells. For example, when there is insufficient energy in cells, the concentration of AMP will increase, which will lead to the release of adenosine-5'-phosphate disodium and participate in the regulation of multiple signaling pathways. These signaling pathways may involve the activation of protein kinases and hormone receptors, which in turn affect the metabolic activity and physiological response of cells. AMP Na2 can directly or indirectly affect the activity of specific protein kinases. Protein kinase is an essential component of intracellular signal transduction and is involved in regulating cell growth, differentiation, and metabolic activities. By controlling the activity of protein kinase, it can affect the physiological state of cells and their response to external stimuli. In drug development, adenosine-5'-phosphate disodium, as a compound, can be used as an excipient for drugs to enhance the stability and solubility of drugs, thereby improving their bioavailability and efficacy. As a nucleotide compound, adenosine-5'-phosphate disodium exerts its biological effects by regulating energy metabolism and signal transduction in cells. It has critical applications and research value in cell function regulation, biochemical research, and clinical medicine.

AMP-Na2 has a variety of applications in different fields. As an essential nucleotide compound, adenosine-5'-phosphate disodium is widely used in biochemical and cell biology research. Researchers can use it to explore fundamental scientific issues in the regulation mechanism of cellular energy metabolism, the activity regulation of protein kinases, and cell signal transduction pathways. AMP Na2 has essential applications in drug development. It is often used as a raw material or excipient for drugs to improve the stability, solubility, or bioavailability of drugs. Especially in those drugs involving cellular energy metabolism and signal transduction, the role of adenosine-5'-phosphate disodium is particularly important. Although not a direct drug, the research and application of AMP-Na2 helps to understand and treat diseases related to cellular energy metabolism disorders, such as diabetes, certain neurological diseases, etc. By improving the regulation of intracellular energy metabolism, adenosine-5'-phosphate disodium has the potential to become an auxiliary means of treating related diseases. In the laboratory, AMP Na2 is often used as a reagent and experimental material for the preparation of various biochemical reagents and experimental conditions. Its stability and operability make it one of the widely used laboratory tools. As a critical cell signaling molecule and energy metabolism regulator, AMP Na2 plays a vital role in scientific research, drug development, and clinical medicine and provides an important tool and theoretical basis for understanding cell physiology and disease mechanisms.
Factory Environment
Xi'an Sonwu production factory is well-equipped, clean, and tidy, with sufficient stock. Under the leadership of the company, researchers insist on developing new products. The following is the testing environment of our laboratory, advanced testing equipment, and professional testers, with a strict attitude to providing valuable data for our products and providing our customers with a quality experience.

Certificates

Packaging

Logistics Record

In addition to guaranteeing product quality, the other most vital thing is clients can receive the goods smoothly. So, Xi'an Sonwu supplies all kinds of couriers according to different needs.

FAQ
1. How do you contact Xi'an Sonwu Biotech Co., Ltd.?
You can contact me by email, telephone number, or social media.
2. How do you ensure the quality of the product?
Xi'an Sonwu tests each batch so Xi'an Sonwu can supply COA for customers. Besides, our products pass the tests for HPLC, UV, GC, TLC, etc. Xi'an Sonwu also cooperates with third parties, like SGS.
3. How to pack and store?
Pack: Vacuum sealed foil packaging & Sealed export-grade drum or pack according to customers' needs.
Storage: Keep it in a dry and cool place, and avoid intense light and heat.
If you want to buy AMP-Na2 powder, feel free to contact Xi'an Sonwu.
E-mail: sales@sonwu.com
Hot Tags: amp-na2 powder, China, suppliers, manufacturers, factory, wholesale, buy, price, bulk, pure, raw, supply, for sale, NSI 189 nootropic, Beta NMN, Organic Glutathione Powder, Tianeptine Sodium Powder, Epicatechin 90 , Pure Pregabalin Powder














